19943: 图的拉普拉斯矩阵
http://cs101.openjudge.cn/practice/19943/
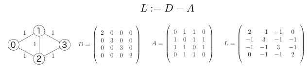
在图论中,度数矩阵是一个对角矩阵 ,其中包含的信息为的每一个顶点的度数,也就是说,每个顶点相邻的边数。邻接矩阵是图的一种常用存储方式。如果一个图一共有编号为0,1,2,…n-1的n个节点,那么邻接矩阵A的大小为n*n,对其中任一元素Aij,如果节点i,j直接有边,那么Aij=1;否则Aij=0。
将度数矩阵与邻接矩阵逐位相减,可以求得图的拉普拉斯矩阵。具体可见下图示意。

现给出一个图中的所有边的信息,需要你输出该图的拉普拉斯矩阵。
输入
第一行2个整数,代表该图的顶点数n和边数m。 接下m行,每行为空格分隔的2个整数a和b,代表顶点a和顶点b之间有一条无向边相连,a和b均为大小范围在0到n-1之间的整数。输入保证每条无向边仅出现一次(如1 2和2 1是同一条边,并不会在数据中同时出现)。
输出
共n行,每行为以空格分隔的n个整数,代表该图的拉普拉斯矩阵。
样例输入
4 5
2 1
1 3
2 3
0 1
0 2样例输出
2 -1 -1 0
-1 3 -1 -1
-1 -1 3 -1
0 -1 -1 2来源
cs101 2019 Final Exam
python
class Vertex:
def __init__(self, key):
self.id = key
self.connectedTo = {}
def addNeighbor(self, nbr, weight=0):
self.connectedTo[nbr] = weight
def __str__(self):
return str(self.id) + ' connectedTo: ' + str([x.id for x in self.connectedTo])
def getConnections(self):
return self.connectedTo.keys()
def getId(self):
return self.id
def getWeight(self, nbr):
return self.connectedTo[nbr]
class Graph:
def __init__(self):
self.vertList = {}
self.numVertices = 0
def addVertex(self, key):
self.numVertices = self.numVertices + 1
newVertex = Vertex(key)
self.vertList[key] = newVertex
return newVertex
def getVertex(self, n):
if n in self.vertList:
return self.vertList[n]
else:
return None
def __contains__(self, n):
return n in self.vertList
def addEdge(self, f, t, weight=0):
if f not in self.vertList:
nv = self.addVertex(f)
if t not in self.vertList:
nv = self.addVertex(t)
self.vertList[f].addNeighbor(self.vertList[t], weight)
def getVertices(self):
return self.vertList.keys()
def __iter__(self):
return iter(self.vertList.values())
def constructLaplacianMatrix(n, edges):
graph = Graph()
for i in range(n): # 添加顶点
graph.addVertex(i)
for edge in edges: # 添加边
a, b = edge
graph.addEdge(a, b)
graph.addEdge(b, a)
laplacianMatrix = [] # 构建拉普拉斯矩阵
for vertex in graph:
row = [0] * n
row[vertex.getId()] = len(vertex.getConnections())
for neighbor in vertex.getConnections():
row[neighbor.getId()] = -1
laplacianMatrix.append(row)
return laplacianMatrix
n, m = map(int, input().split()) # 解析输入
edges = []
for i in range(m):
a, b = map(int, input().split())
edges.append((a, b))
laplacianMatrix = constructLaplacianMatrix(n, edges) # 构建拉普拉斯矩阵
for row in laplacianMatrix: # 输出结果
print(' '.join(map(str, row)))