M27637: 括号嵌套二叉树
dfs, stack, http://cs101.openjudge.cn/practice/27637/
可以用括号嵌套的方式来表示一棵二叉树。
方法如下:*表示空的二叉树。
如果一棵二叉树只有一个结点,则该树就用一个非*字符表示,代表其根结点。
如果一棵二叉左右子树都非空,则用树根(左子树,右子树)的形式表示。树根是一个非*字符,左右子树之间用逗号隔开,没有空格。左右子树都用括号嵌套法表示。
如果左子树非空而右子树为空,则用树根(左子树,*)形式表示;如果左子树为空而右子树非空,则用树根(*,右子树)形式表示。
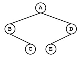
给出一棵树的括号嵌套表示形式,请输出其前序遍历序列、中序遍历序列、后序遍历序列。例如,A(B(*,C),D(E))表示的二叉树如图所示

输入
第一行是整数n表示有n棵二叉树(n<100) 接下来有n行,每行是1棵二叉树的括号嵌套表示形式
输出
对每棵二叉树,输出其前序遍历序列和中序遍历序列
样例输入
2
A
A(B(*,C),D(E,*))样例输出
A
A
ABCDE
BCAED来源
http://dsbpython.openjudge.cn/dspythonbook/P0680/
将输入的括号嵌套形式转换成二叉树,然后实现了前序和中序遍历。
python
class TreeNode:
def __init__(self, value):
self.value = value
self.left = None
self.right = None
def parse_tree(s):
""" 解析括号嵌套格式的二叉树 """
if s == '*': # 处理空树
return None
if '(' not in s: # 只有单个根节点
return TreeNode(s)
root_value = s[0] # 根节点值
subtrees = s[2:-1] # 去掉根节点和外层括号
# 使用栈找到逗号位置
stack = []
comma_index = None
for i, char in enumerate(subtrees):
if char == '(':
stack.append(char)
elif char == ')':
stack.pop()
elif char == ',' and not stack:
comma_index = i
break
left_subtree = subtrees[:comma_index] if comma_index is not None else subtrees
right_subtree = subtrees[comma_index + 1:] if comma_index is not None else None
root = TreeNode(root_value)
root.left = parse_tree(left_subtree) # 解析左子树
root.right = parse_tree(right_subtree) if right_subtree else None # 解析右子树
return root
def preorder_traversal(root):
"""前序遍历:根 -> 左 -> 右"""
return root.value + preorder_traversal(root.left) + preorder_traversal(root.right) if root else ""
def inorder_traversal(root):
"""中序遍历:左 -> 根 -> 右"""
return inorder_traversal(root.left) + root.value + inorder_traversal(root.right) if root else ""
# 读取输入
n = int(input().strip())
results = []
for _ in range(n):
tree_string = input().strip().replace(" ", "") # 去掉可能的空格
tree = parse_tree(tree_string)
results.append(preorder_traversal(tree))
results.append(inorder_traversal(tree))
print("\n".join(results)) # 按格式输出优化版代码(精简高效 + O(n) 解析)
python
class TreeNode:
__slots__ = ("val", "left", "right")
def __init__(self, val):
self.val = val
self.left = None
self.right = None
def parse_tree(s):
"""将括号嵌套形式解析为二叉树,使用流式指针解析避免重复切片"""
i = 0
n = len(s)
def parse():
nonlocal i
if i >= n or s[i] == '*':
i += 1 # 跳过空树符号
return None
node = TreeNode(s[i])
i += 1
if i < n and s[i] == '(':
i += 1 # 跳过 '('
node.left = parse() # 左子树
if i < n and s[i] == ',':
i += 1 # 跳过 ','
node.right = parse() # 右子树
if i < n and s[i] == ')':
i += 1 # 跳过 ')'
return node
return parse()
def preorder(root):
res = []
def dfs(node):
if not node: return
res.append(node.val)
dfs(node.left)
dfs(node.right)
dfs(root)
return ''.join(res)
def inorder(root):
res = []
def dfs(node):
if not node: return
dfs(node.left)
res.append(node.val)
dfs(node.right)
dfs(root)
return ''.join(res)
# 主程序
if __name__ == "__main__":
n = int(input().strip())
for _ in range(n):
s = input().strip().replace(" ", "")
tree = parse_tree(s)
print(preorder(tree))
print(inorder(tree))优点总结
| 优化项 | 原实现 | 优化后 |
|---|---|---|
| 解析复杂度 | O(n²)(切片多次) | O(n)(指针推进) |
| 递归逻辑 | 需要查找逗号、维护栈 | 自动语法驱动,简洁直观 |
| 拼接性能 | 字符串相加 | list.append + ''.join() |
| 可读性 | 多层嵌套逻辑 | 层次清晰、容易扩展 |